1. 서 론
외팔보(cantilevered beam)는 미세한 자동 기계 장치로 된 조종자(micro-robotic manipulators)의 분야나 원자력 발전소, 항공 산업, 현미 수술(micro-surgery) 장비에 사용되는 기계 장비의 요소, 그리고 정밀성을 요구하는 다양한 산업분야에 사용되고 있다. 대부분의 경우, 외팔보의 자유단에 조화 가진을 받게 되고, 가진주파수가 고유주파수와 크게 다르다 하더라도 외팔보에서 세로방향(transverse direction)으로 진동이 일어나게 된다.
Pratiher와 Dwivedy(2011)는 주기적으로 변하는 자기장 영역에서 외팔보의 진동과 주파수 분석을 비선형적으로 수행하였다. 또한 Thomas, Wilson 그리고 Wilson(1973)은 Timoshenko beam을 유한요소로 해석하여 고유주파수를 구하는 연구를 수행하였다.
또한, 비선형 구조해석 모델 개발에 널리 사용되고 있는 total Lagrangian, updated Lagrangian 유한요소기법에 비해 최근 Rankin에 의해 정립된 Co-rotational(CR)기법은 작은 변형률 및 큰 회전운동을 갖는 모델의 기하학적 비선형 해석에 사용되고 있다. Crisfield(1990)는 3차원 보의 비선형성에 대한 연구를 진행하였고, Battini(2011)는 2차원 보의 동적 거동에 대한 연구를 진행하였다.
본 논문에서는 Euler-Bernoulli beam theory를 적용하여 외팔보를 1차 자유도 spring-mass model로 설정하여 해석을 진행하고, CR beam을 사용하여 얻어진 예측결과를 분석하여 spring-mass model과 비교하였다. 또한 CR beam을 통해 얻은 결과를 바탕으로 감쇠현상 대한 분석을 진행하였다.
2. 본 론
이 장에서는 먼저 CR기법을 이용한 외팔보 모델링과 상용프로그램 ANSYS와의 시간 및 주파수 영역에서의 결과 비교를 통하여 CR 외팔보 모델의 신뢰성을 확보한다. 또한, 구조적 감쇠효과가 고려되지 않은 Euler-Bernoulli beam 이론 외팔보 모델과 구조적 감쇠효과가 고려된 CR기법을 이용한 외팔보 모델 끝단에 일정한 진폭 및 변화하는 가진주파수 대해 구조적 감쇠효과에 대한 반응을 확인한다.
2.1 이론적 배경
2.1.1 Euler-Bernoulli beam 이론 모델
외팔보를 무게가 없는 강성 k와 대응하는 유효 질량인 meff가 자유단에 달려 있는 형태로 가정을 한다. 이 모델의 고유주파수는 식 (1)과 같이 표현할 수 있으며, 보의 물성치를 통해 강성 k 역시 구할 수 있다.
(1)
또한, 끝단에 있는 유효 질량은 식 (2),(3)을 통해 아래와 같이 구할 수 있다(여기서 αn은 연속체 시스템을 통해 나온 식에서의 첫 번째 모드형상에서의 계수를 나타낸다).
(2)
(3)
따라서 외팔보를 아래의 식 (4)와 같이 1차 자유도 형태로 나타낼 수 있다.
(4)
여기서, 보의 자유단에 조화 가진을 세로방향(transverse direction)으로 받는다고 생각하면 식 (5)으로 나타낼 수 있게 되어 최종적인 이론식을 구할 수 있다.
(5)
2.1.2 CR-beam 모델
Co-Rotational Beam 모델은 기하학적 비선형 거동을 강체거동과 구조변형 두 단계로 독립적으로 나누어 해석된다. 국부요소에서 Euler-Bernoulli 이론 기반 강성행렬이 구성되어 변형을 예측하고, 강체거동에서는 회전 및 이동이 계산된다(Battini, 2011).
Fig. 1과 같이 정의된 요소의 운동에너지와 관성력에 의한 가상일의 관계로 CR-beam 모델의 방정식을 아래의 식 (6)과 같이 나타낼 수 있다.
(6)
(7)
식 (7)을 통하여 CR-beam 방정식은 감쇠효과(damping effect)를 포함한다.
2.2 해석 대상물 검증
2.2.1 시간 영역 검증 흐름도
Fig. 3은 가정한 해석 대상물을 시간영역에서 끝 단 변위를 비교분석하기 위한 흐름도이다. Fig. 4는 동일한 해석 대상물에 대한 두 프로그램간의 끝 단 변위를 나타낸다.
해석시간은 3초, 가진주파수는 3Hz, 모델의 고유주파수는 4Hz이다. 해석 결과, 경향성을 일치하는 것으로 보이나 일정 구간에서 오차가 발생하는 것을 확인하였고, 이는 두 프로그램의 시간 적분 계산법에 의해 발생하였다고 판단하였다.
2.2.2 주파수 영역 검증 흐름도
Fig. 5는 신속 Fourier 변환을 이용한 주파수 영역에서의 검증 흐름도이다. CR-beam의 결과값을 MATLAB 내장함수를 이용하여 고유주파수 및 가진주파수를 도출하여 Fig. 6에 나타내었다. 수치적 결과는 Table 2와 같다.
이론적인 고유주파수는 4Hzz, 해석을 통한 고유주파수는 3.954Hz이며 절대적 오차는 1.15%이므로 CR-beam 모델의 신뢰성을 확보하였다고 판단하였다.
Table 2
Comparison of theoretical and analytic frequency
| Excitation Frequency [Hz] | Natural Frequency [Hz] | |
|---|---|---|
| Theory | 3 | 4 |
| Analysis | 3 | 3.954 |
또한 Fig. 7을 통해 가진주파수 비 공진주파수 변화에 따른 최대 끝 단 변위를 나타냈으며, 이를 통해 CR-Beam 모델에 구조적 감쇠효과가 있음을 확인하였다.
2.3 해석결과
2.3.1 가진주파수 변화에 따른 끝 단의 물리적 변위 응답
Fig. 8에서 고유 진동수는 4Hz이고 가진주파수는 3Hz일 경우, 파란색 그래프는 Euler-Bernoulli-beam Theory에 근거한 이론값이며, 빨간색 그래프는 CR-beam에서의 결과를 나타낸다. 500초동안 살펴보았을 때, CR-beam에서의 결과는 구조적 감쇠에 의해 시간이 지남에 따라 끝 단 변위가 점점 줄어드는 것을 관측할 수 있었다. 반면, Euler- Bernoulli-beam Theory에 근거한 이론값은 감쇠를 고려하지 않은 모델이기 때문에 자유단 변위가 감소하지 않고 그대로 유지되는 정상상태로 나타났다.
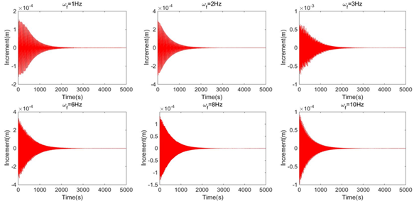
CR-beam의 결과에서 시간에 따른 끝 단 변위에 대한 경향성과 정상상태를 파악하기 위해 10,000초 대한 연구를 진행하였고, 정상상태를 충분히 확인할 수 있는 5,000초에 대한 결과를 Fig. 9를 통해 나타내었다.

Figure 9
Tip deflection with various excitation frequency(Euler-bernoulli-beam without damping effect)
Fig. 9에서 CR-beam을 이용한 결과 값은 가진주파수 ωf가 증가할수록 정상상태가 되기 전까지 시간에 따른 끝 단 변위 감소율이 증가하며 외팔보는 이론적인 변위에 비해 변위가 감소하는 경향을 나타내었다. 또한, 가진주파수 ωf가 고유주파수 ωn(4Hz)에 근접할수록 외팔보의 자유단 세로방향의 변위가 증가함을 알 수 있었다. 가진주파수의 변화에 따른 세로방향의 변위의 크기는 다르나 일정시간 이후에 정상상태로 상태변화가 일어남을 알 수 있었다.
두 모델에 대한 정확한 비교를 위해 감쇠를 고려한 Euler- Bernoulli-beam 모델을 CR-beam과 비교한 그래프를 Fig. 10을 통해 나타내었다. Euler-Bernoulli-beam 모델에서 감쇠계수는 CR-beam의 결과에서 정상상태의 진폭에 맞춰 설정하였으며 식 (5)에 설정한 감쇠계수를 이용한 감쇠항을 추가하여 그래프를 나타내었다.
Fig. 10에서 알 수 있듯이 두 모델에 대해 끝 단 변위 값이 차이가 생기는 것을 확인하였다. 이는 CR-beam의 구조적 감쇠는 자동적인 계산에 의해 감쇠행렬이 얻어지나, Euler- Bernoulli beam에서는 감쇠계수 값을 일정하게 고려했기 때문에 오차가 발생했으며, 끝 단 변형 값이 작기 때문에 기하비선형에 의한 오차는 거의 없다고 판단하였다. 그리고 Euler- Bernoulli-beam 모델 역시 일정시간 이후 정상상태가 나타나는 것을 확인하였다.
2.3.2 변화하는 가진 주파수에서 인접한 주기의 진폭 증감 경향
정상상태가 나타나는 시간을 확인하기 위해 가진주파수가 주어졌을 때 인접한 주기의 최대 진폭 증감경향을 Fig. 11에 대해 나타내었다. Fig. 11에서 확인할 수 있듯이 시간이지남에 따라 진폭 증감 경향이 감소하는 경향을 보인다. 또한 일정 시간 이후 진폭의 증감이 0으로 수렴하는 정상상태 경향을 보인다. 정상상태 수렴하는 시간 역시 확인하였으며, 약 2500~ 3000초로 나타났다. 이는 가진주파수를 다르게 한 6가지 경우 모두 정상상태에 수렴하는 시간은 같은 값을 가지는 것을 확인하였으며, 정상상태에 도달하는 시간은 가진주파수와는 독립적인 관계임을 제시하였으며, 이는 Table 3에 나타냈다.
3. 결 론
본 논문에서는 Euler-Beam Theory에 근거한 이론적인 외팔보 자유단의 변형과 CR-beam을 이용한 외팔보의 자유단의 변형에 대한 경향 및 차이점을 제안하였다. 또한, 구조적 감쇠효과가 고려된 Euler-Beam모델과 CR-Beam 모델을 비교하여 보다 구체적인 결과를 제시하였다. 이론적 외팔보의 자유단 변형에 대한 해석의 타당성을 제시하기 위하여신속 Fourier변환을 사용하여 두 모델의 고유주파수와 가진주파수를 비교하였고, 상용프로그램 Ansys와 CR-beam을 이용하여 조화가진의 변화에 대한 결과를 제시하였다. 시간 적분법 및 수치기법에 의한 오차(1.15%)가 있으나 신뢰성을 확보하였다고 판단했다. 비교된 값들을 통해 외팔보의 자유단 변위 특징을 나타내었으며, 변화되는 가진주파수에 대한 경향을 확인하였다. 가진주파수가 증가함에 따라 외팔보의 자유단에서 각 주기의 최대 자유단 변위비가 증가하여 감쇠를 고려하지 않은 Euler-Beam Theory에 근거한 외팔보의 자유단 변위와는 큰 차이가 있음을 제시한다. 가진주파수의 변화에 따라 CR-beam 끝단의 물리적 변위는 구조적 감쇠에 의해 감소하는 경향을 보인다. CR-beam의 끝 단 변위와 감쇠를 고려한 Euler-Beam 모델의 변위가 정상상태로 도달하는 경향은 비슷하다 실제 수치적 계산에 의해 계산되는 감쇠효과가 다름을 확인하였다. 실제 CR-beam에서의 감쇠 효과는 주파수 변화에 따른 최대 자유단 변위 그래프를 통해 확인하였으며, 고유주파수와 근접한 가진주파수에 대해서는 공진주파수에 근접하기 때문에 외팔보의 자유단 세로방향 변위가 증가하게 된다. 또한, FFT그래프에서 가진주파수에서 y축 크기 값이 고유주파수에서의 크기 값보다 더 크기 때문에, 시간이 충분히 지남에 따라 외팔보는 모델이 가진 고유주파수가 아닌 가진주파수에 의존하는 경향을 보였다. 마지막으로, 6가지 경우 모두를 비교해 본 결과, 정상상태에 도달하는 시간은 가진주파수와는 독립적인 관계임을 확인하였다.
실제 외팔보 자유단의 거동은 감쇠효과가 고려된 CR- beam의 예측 결과에 가깝다. 따라서 본 논문에서 제시한 가진주파수와 외팔보 자유단 변위의 관계를 입증하기 위해서는 CR-beam 모델의 고유주파수가 변화함에 따른 자유단 변위의 관계, 조화 가진에서 고정된 외력의 크기 변화에 따른 자유단 변위의 관계가 필요하다.












