1. 서 론
초음속 혹은 극초음속으로 비행하는 고속 비행체에서는 주 변 공기와의 마찰로 인해 높은 공력가열이 발생한다. 비행체의 표면에서의 공력가열로 인한 온도상승 및 고열유속 침투는 비 행체의 열적 안전성 및 비행체 내부의 전자기기 성능에 문제를 야기한다. 따라서 초고속 비행체 설계를 위해서는 공력가열로 인해 상승되는 비행체의 표면온도, 열유속 및 열응답(thermal resposne) 예측이 필수적이다. 최근 CFD의 발달로, CFD를 이용하여 공력가열로 인해 발생하는 열응답을 분석하는 연구 가 수행되고 있으며, 시간에 따른 비행체의 열응답을 분석하기 위해서는 비행체 외부의 대류열전달과 내부의 전도열전달을 동시에 계산하는 복합 열전달 해석(conjugate heat transfer analysis)이 필요하다.
초음속 항공기 및 미사일은 다양한 비행 시나리오에 의해 운 전되며, 고도 및 속도에 따라 열적특성이 매우 달라지기 때문에 비행 조건변화에 따른 해석연구가 많이 진행되고 있다. 따라서 시간에 따른 유동변화를 고려한 공력가열을 분석하기 위한 비정상 해석이 필요하다. 그러나 초음속 난류 유동의 time scale은 매우 작으므로, time scale 및 전체 비행 시나리오의 조건 변화를 고려한 비정상 해석은 불가능하다. 따라서 일반적 으로 비행체의 유동과 열전도를 구분하여 해석을 진행하는 연성 연계 해석(loosely coupled method)이 적용되고 있다 (Zhang et al., 2014).
연성 연계 해석은 대류열전달 계산 시 비행체 표면의 온도를 고정시킨 후 정상 열유동장 해석을 통해 열유속을 도출하며, 도출한 열유속 조건을 비정상 전도열전달 해석에 적용하여 계산한다. 그러나 공력가열로 인해 비행체의 표면온도가 상승 하며 이에 시간에 따른 열유속이 감소하므로, 연성 연계 해석과 같이 고정된 열유속을 적용하면 실제보다 과도한 열유속이 유입된다. 따라서 본 연구에서는 연성 연계 해성 기법과 복합 열전달 해석을 결합한 준-비정상해석 기법(quasi-transient method)을 고안하였다. 준-비정상해석 기법은 연성 연계 해석과 동일한 방법으로 정상 해석을 통해 대류열전달을 계산 한다. 그러나 비정상 복합 열전달 해석을 적용하여 전도열전달을 계산하므로 고정된 열유속이 아닌 시간에 따라 변화하는 표면 온도 및 열유속을 적용할 수 있다는 장점이 있다.
준-비정상해석 기법과 연성 연계 해석을 수행하기 위해서는 주어진 비행조건에 대해 정상해석 및 비정상해석을 수행할 구간을 구분하는 기준이 필요하다. 주어진 비행조건을 많은 구간으로 분할하여 해석할 경우 정확도가 상승하지만, 계산 용량이 증가하여 비정상 해석을 수행하는 계산비용 절감의 장점이 상쇄된다. 따라서 적은 구간으로 분할하여 준-비정상 해석을 수행하는 것이 중요하므로 본 연구에서는 유동 조건을 이용하여 해석 구간을 분할하는 기법을 고안하였다.
본 연구를 통해 비행체의 열응답 해석을 위해 고안한 준-비 정상해석 기법의 정확도 및 계산용량 저감 효과를 평가하고자 하였다. 해석을 위해 ANSYS Fluent v.15.0을 사용하였고 초음속 유동의 공력가열 계산 기법 검증을 선행하였다. 최종 표면온도의 오차는 11.4%이며 계산시간은 비정상 해석에 비해 28.8배 감소되어 준-비정상해석 기법의 효율성 및 신뢰 성을 평가하였다.
2. 본 론
2.1. 준-비정상해석 기법
준-비정상해석 기법과 연성 연계 해석은 계산용량으로 인해 비정상해석이 불가능한 상황에서, 초음속 및 극초음속 유동을 통과하는 비행체의 열응답 해석을 수행할 수 있다는 장점이 있다. Fig. 1은 준-비정상해석 기법의 알고리즘을 나타낸다. 준-비정상해석 기법은 주어진 비행조건에서 시간에 따라 여러 구간으로 분할하여 정상 유동장 해석과 비정상 복합 열전달 해석을 수행하는 기법을 의미한다. 비정상해석에 대비해 계산 비용을 절감하면서 동시에 정확도가 높아야 하므로 적은 구간 으로 시간을 분할하면서 정확도를 유지하는 것이 중요하다. 따라서 본 연구에서는 시간에 따른 유동조건의 시간에 따른 적분값을 이용하여 정상 유동장 해석과 비정상 복합 열전달 해석을 수행할 구간을 분할하는 방법을 고안하였다. 시간에 따른 유동조건의 면적을 구하였을 때, 면적 A와 B가 동일해 지는 시간을 reference time(ta)로 지정하였다. 면적 도출 과정에서 사용된 유동 조건으로는 열유속, 전온도, 마하수 및 압력을 적용하였고, 식 (1)은 전온도, 식 (2)는 열유속을 나타 낸다(Anderson, 2000).
Reference time(ta)를 도출한 후의 준-비정상해석 기법을 수행하기 위한 방법은 다음과 같다. 준-비정상해석 기법과 연성 연계 해석의 초기 정상 유동장해석은 동일하다. tn의 시간에서의 정온도를 초기 벽면온도로 고정시킨 후, tn의 유동조건을 적용한 정상 유동장 해석을 수행하여 초음속 정상 유동장을 도출한다. 준-비정상해석 기법과 연성 연계 해석 기법의 차이는 비정상 전도 열전달 해석에서 발생한다. 연성 연계 해석은 고정된 벽 온도 조건에서 정상 열유동장 해석 수행 후 도출된 열유속을 비정상 전도 열전달 해석에 적용한다. 따라서 시간에 따른 표면온도 상승으로 인한 열유속 감소는 반영하지 못하고, 과도한 열유속이 적용될 수 있다는 단점이 있다. 이에 반해 준-비정상 해석 기법은 정상 유동장 해석 후, 유체 도메인과 고체 도메인의 벽 조건을 coupling시켜 ta까지 비정상 복합 열전달 해석을 수행한다. 비정상 복합 열전달 해석을 수행하기 때문에 연성 연계 해석과 달리 시간에 따른 표면온도 상승 및 열유속 감소 효과를전도열전달계산에반영할수있다는장점이있다. 비정상 복합 열전달 해석 수행이 완료되면 ta에서의 벽 온도 profile를 도출한다. 그리고 도출한 벽 온도 profile과 tn + 1의 유동조건을 적용하여 정상 유동장을 해석을 통해 도출하고, 이를 다시 전도 열전달과 연성으로 최종적으로 비정상 복합 열전달 해석을 한번 더 수행한다.
2.2. 형상 및 해석조건
본 연구에서는 ANSYS Fluent v. 15를 사용하였으며, 압 축성 유동 해석에 유리한 density-based solver를 사용하였다. 초음속 외부 유동은 난류유동이므로 난류 모델 테스트를 수행 하여 최종적으로 Menter의 SST k-ω 모델을 사용하였으며 (Menter, 2009), 난류 모델 테스트의 결과는 2.3장에 제시 하였다. Least square cell based 기법을 적용하였으며, 각 변수의 차분화에는 2nd order upwind 기법을 적용하였다.
공력가열되는 물체의 열응답 특성을 파악하기 위해서 무딘 물체 형상을 적용하였다. 도메인 및 격자는 Fig. 2(a)와 (b)에 나타나 있다. 해석에는 축대칭 조건을 사용하였으며, 유동의 입구 조건으로 pressure far field, 출구 조건으로 pressure outlet 조건을 사용하였다. 무딘 물체 내부의 벽은 단열조건을 사용하였다. 무딘물체의 소재는 초음속 비행체의 단열재로 많이 사용되는 그라파이트 소재를 적용하였다.
유동장의 격자는 총 56,000(160×350)개의 정렬격자를 적용하였고 전도 열전달만 고려하는 무딘 물체 내부는 비정렬 격자를 적용하여, 최종적으로 110,000개의 격자를 적용하였다. 벽면의 최대 y+값은 1 미만이 되도록 격자를 작성하였다.
준-비정상해석 기법을 평가하기 위하여 가상의 시나리오를 선정하였다. 고도는 5000m로 고정된 상황에서 마하수가 2.5 에서 3으로 10초 동안 일정한 크기의 가속도로 가속되는 상황을 가정하였다. 고도 5,000m에서 공기의 물성은 Table 1에 나 타나 있다. 동일 고도에서 일정한 가속도로 마하수가 증가하면, 마하수 증가에 따른 공력가열 및 전온도가 증가하며 전온도 상 승은 약 160K 수준이다.
Table 1
Flow conditions of flight scenario
| Altitude(m) | 5,000 |
|---|---|
| Ma | 2.5 -> 3.0 |
| Pressure(Pa) | 54,050 |
| Temperature(K) | 255.65 |
| Total temperature(K) | 575.21 -> 715.82 |
준-비정상해석 기법을 평가하기 위하여 비정상 해석 또한 수행하였으며, 비정상 해석을 수행하기 위해 변화하는 마하수 조건은 User Define Function을 이용하여 Fluent에 입력하 였다.
2.3. 공력가열 해석기법 검증
초음속 유동에서 열전달 해석은 경계층에서 공력가열이 발생 함에 따라 매우 어려우며, 형상과 형상 주위에서 발생하는 유동에 따라 최적의 난류모델과 wall function이 정해져 있으 므로, 본 연구에서 사용한 동일한 무딘 물체 형상에서 열전달 validation을 수행하였다.
Hayashi 등(2006)은 25mm 무딘 물체에서 마하수 3.97, 전온도 397K, 전압력 1.37MPa의 풍동에서 표면의 온도가 295K으로 일정할 때의 표면 열유속을 측정하였다. Fig. 2(b) 의 격자를 적용하였으며, 여러 난류 모델에 따라 변화하는 열 유속을 도출하였고 실험값과 가장 유사하게 도출되는 난류모 델을 선정하였다.
충격파를 지난 유동은 밀도가 급격히 상승하므로 밀도분포를 통해 충격파의 시작 위치와 구조를 확인할 수 있다. Fig. 3은 수치해석으로 도출한 밀도분포와 문헌에 제시된 Schlieren image를 동시에 보여주며(Hayashi, 2006) 충격파의 시작점 과 구조가 일치하는 것을 확인할 수 있다. Fig. 4는 Hayashi 등(2006)의 실험값과 수치해석으로 도출한 표면 열유속을 비교한 결과를 나타낸다. 대부분의 난류모델은 천이영역 이후 난류경계층 발달에 따른 표면 열유속 변화를 예측하였다. 그 중 박리 예측에 효과적인 SST k-ω model은 다른 난류모델과 비교하였을 때 경계층 천이를 가장 잘 예측하였고, 정체점에서 10%이내의 오차로 잘 예측하여 공력가열 해석에 SST k-ω model을 적용하였다.

Fig. 4
Heat flux validation with experiment(Hayashi et al., 2006) considering various turbulence model
3. 해석결과 및 고찰
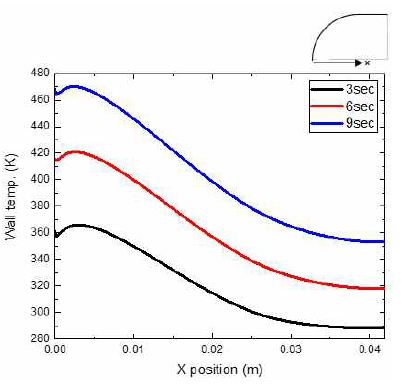
10초의 시간동안 유동의 조건 변화를 모두 고려한 비정상 해석을수행하였으며 초음속난류유동의time scale을 고려하여 5×10-5sec의 time step을적용하였다. 매우 작은 time step이 적용됨에 따라 비정상 해석을 수행하는데 72시간의 계산시간이 소요되었다. Fig. 5는 시간에 따른 무딘 물체의 표면온도를 나타내며 공력가열로 인해 시간에 따라 표면온도가 상승하는 것을 확인할 수 있다. 정체점은 유동의 속도가 0에 가까워 가장 큰 온도 상승이 나타나며, 표면을 따라 경계층이 발달하여 표면 온도가 감소되는 것을 확인할 수 있다.
준-비정상해석 기법에 적용될 reference time(ta)을 2.1장에 제시되어있는 기법을 적용하여 도출하였다. 열유속을 기준의 경우 5.6초, 전온도의 경우 5.2초, 마하수의 경우 5.0초가 ta로 도출되었으며, 이를 적용하여 준-비정상해석을 수행하였다. 준- 비정상해석의 계산시간은 2시간 30분 내외로, 계산시간이 비정상 해석에 비해 28.8배 감소하였다.
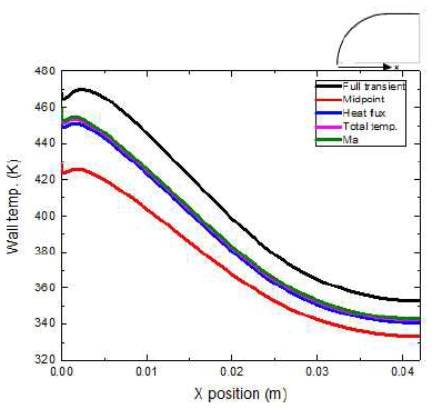
Fig. 6은 준-비정상해석 기법을 적용하였을 시 무딘 물체 내외부의 온도 분포를 나타낸다. 무딘 물체를 만난 초음속 유동은 궁형 충격파를 발생시키며 유동의 온도, 압력 및 밀도를 회복시킨다. 준-비정상해석 기법 적용 시 유동의 조건은 초기 조건과reference time에서두번 변하기때문에 비정상해석과 달리 충격파 구조가 불연속적으로 변하지만, 무딘 물체 내부의 전도열전달은 연속적으로 변하는 것을 확인할 수 있다. Fig. 7 은 기존의 ta가 midpoint(5초)에서 tn + 1의 유동이 아닌 ta의 유동조건을 이용하여 해석한 기법과, 준-비정상해석 기법 및 비정상 해석을 적용하여 해석하였을 때 10초에서의 표면온도를 나타낸다. 전반적인 표면온도 분포의 경향성이 일치하는 것을 확인할 수 있다. 비정상 해석 시 10초 동안 255.5K이었던 표면온도가 정체점에서 484.4K까지 상승한 것을 확인할 수 있다. 기존의 midpoint 해석 기법을 적용하였을 시 정체점의 온도는 427.2K까지 밖에 상승하지 않아 공력가열로 인한 가열현상이 적게 예측되는 것을 확인할 수 있으며, 비행시간이 길어질수록 오차가 더욱 커질 것으로 예측된다.
반면, 준-비정상해석을수행하여정체점의온도를도출할경우 454.1K에서 457.7K 사이로 예측되며 기존의 midpoint 해석 기법보다 1.5배 이상 오차가 줄어든 것을 확인할 수 있다. 최종적으로 Fig. 8은 10초동안 정체점에서의 상승된 온도와 해석의 총 소요시간을 나타내며, 마하수를 적용하여 ta를 결정 하였을 때 가장 적은 오차가 발생하였고, 준-비정상해석기법을 통해 28배의 계산시간 감소를 확인하였다.
4. 결 론
본 연구에서는 계산용량을 감소시키면서 동시에 정확도를 유지하여 비정상 열응답 해석을 수행하기 위한 방법으로 연계 연성 기법과 복합 열전달 해석을 결합한 준-비정상해석 기법을 제안하였다. 준-비정상해석 기법 및 연성 연계 해석은 정해진 시간 동안 정상 해석과 비정상 해석을 수행할 구간을 선정하는 것이 매우 중요하지만, 현재까지 기준 시간을 정하는 방법은 확립되어 있지 않다. 따라서 본 연구에서는 시간에 따라 변화 하는 유동 조건 및 열유속을 통해 시간 reference time(ta)를 결정하는 기법을 제시하였다.
준-비정상해석 기법 및 시간 전진 폭 선정 기법을 적용하여 10초 동안 무딘 물체에서의 열응답을 특성을 분석하였다. 일반적으로 연성 연계 기법은 열유속이 과도하게 예측되는 것에 비해, 준-비정상해석 기법의 경우 비정상 해석 결과에 비해 온도 상승률이 감소하였다. 그러나 midpoint 기법을 적용하여 해석한 결과와 비교해 보았을 때, 최종 정체점에서의 온도 오차가 12% 향상되었으며 비정상 해석에 비해 28배 가까운 계산 시간을 단축시켰다.









