1. 서 론
양방향 펌프는 세탁기에서 두 개의 모터로 물을 배출하고 순환시키는 기존의 단방향 펌프를 대체하기 위한 부품으로써, 하나의 모터로 세탁 작동 중 배출기능시에는 외부로 물을 배출 하고, 헹굼작동에서는 세탁조 내에 물을 순환시키는 동작을 한다. 기존 펌프는 단방향으로 작동하는 두 개의 DC (direct current) 모터를 사용하여 각각의 모터가 개별적으로 기능을 수행하였으므로 두 개의 모터를 사용하는 것은 제품의 단가 측면 에서 불리함이 있었다. 반면 양방향 펌프는 한 개의 BLDC (brushless DC) 모터를 장착하여 순환구 및 배출구가 함께 제어되기 때문에 원가 절감이 가능하다. 하지만 양방향 펌프는 구조적인 문제로 인해 기존 제품에서 발생하지 않았던 배출 및 헹굼작동에서 배출구 및 순환구에서의 역류와 흡입 현상이 발생 하는 문제가 있다.
기존 펌프에 대한 최근 연구들은 임펠러, 케이싱 형상, 블레 이드 등에 대한 최적설계에 관한 연구들이 많다. Pyun 등 (2012)은 임펠러의 최적설계를 위하여 임펠러 날개 각도를 설 계변수로 선정하여 수치해석을 이용해 성능에 미치는 영향을 파악하고 반응표면기법을 이용하여 최적화하였다. Jin 등 (2013)은은 원심펌프에서 볼류트 케이싱의 원주방향 및 반경 방향의 혀 위치(volute tongue) 및 단면형상의 변화가 성능 곡선에 미치는 영향에 대해 분석하였다. Baek 등(2012)은 양방향 축류펌프의 성능과 효율을 높이기 위해 블레이드의 형상 최적설계를 수행하였다. Park 등(2014)은 10kw급 모델 실험용 프로펠러 수차에 대하여 선단 틈새, 러너 베인 깃수와 유량 변화에 따른 성능해석 및 내부 유동해석을 실시하여 선단 틈새가 없고 러너 베인 깃수가 상한치인 6개일 때 가장 안정적인 효율 임을 보였고, 깃수가 줄어들수록 효율이 감소함을 보였다. 실험적인 방법으로는 양뱡향 펌프 작동 시 상이한 작동 조건 하에서 다양한 구조의 변경으로 양뱡향 유로의 특성과 유동 패턴을 분석하여 유로 설계방안을 제시하였다(Zhu et al., 2008).
기존 펌프 연구들은 펌프의 성능을 높이기 위하여 임펠러, 케이싱형상, 블레이드 등의 국부적인 최적화가 이루어지고 있는데, 양방향 펌프는 배출구 및 순환구에서의 역류와 흡입 현상이 발생하는 문제로 인해 전역적인 독립변수에 대한 성능 분석이 요구된다. 그러므로 본 논문은 양방향 펌프의 성능에 영향을 미치는 주요 설계 인자를 선정하여 최적화함으로써 역류 및 흡입 유량 최소화하면서 유량과 토크는 기존 모터펌프보다 향상하는 것을 목표로 하였다.
2. 전산유동해석
양방향 펌프 케이싱의 전산해석을 위해 케이싱과 임펠러의 3차원 모델을 CATIA V5 R26를 사용하여 제품을 단순화 하였다. 단순화한 모델의 케이싱 내부 공간을 유동영역으로 추출하고 ANSYS FLUENT V16(TSME, 2016)을 사용한 전산유동해석을 실시하였다.
해석을 위해 먼저 모터펌프에서 임펠러의 회전수와 세탁조 에서 물이 공급되는 입수구, 배수 시 물이 배출되는 배출구, 헹굼시 물이 순환하는 순환구 세 개의 면에 경계조건을 입력해야 한다. 경계조건은 Table 1과 같이 임펠러의 분당회전수와 경계면에서의 압력값을 적용하였으며, 회전수는 배출 및 순환 시 회전수가 다르므로 다르게 적용하였다. 압력(P)은 밀도(ρ), 중력가속도g, 높이(h) 를 적용한 만수위를 적용하였으며, 배출과 헹굼에서 동일하게 적용된다. 여기서 입수구, 배출구 및 순환구에서의 만수위는 각각 바닥면과 드럼 내부에서 입수구, 배출구 및 순환구와 연결된 호스의 높이 차이를 의미한다.(1)
Table 1
Boundary condition of two-way pump
| Height | Emit condition | Rinsing condition | ||
|---|---|---|---|---|
| Inlet | 34cm | 3,325(Pa) | ||
| Outlet | Drain | 70cm | 6,846(Pa) | |
| Circulation | 100cm | 9,792(Pa) | ||
| Rotational speed | - | 3800(RPM) (CCW) | 3200(RPM) (CW) | |
경계조건을 부여하고 난 후 전산유동해석을 실행하기 위해 케이싱의 내부 유동영역이 필요하므로 케이싱 내부유동영역을 요소모델로 생성해야 한다. 요소는 해석의 정확성을 위해 일정 수준의 격자품질을 만족해야 하므로 통상적으로 사용되는 기준인 왜도는 0.98이하, 지교품질은 최소 0.1 이상을 기준으로 하였으며, 격자크기는 0.8mm, 그 외 나머지 값을 기본 값으로 설정하여 진행하였다. 수렴을 위한 반복해석 횟수는 10,000번, 해석 만족기준은 수렴 잔차가 10-4 이하로 떨어지고 경계면에서 질량유량이 일정하게 수렴하는 결과를 사용하였다.
Table 2는 초기 모델에서의 순환과 배출시 순환구와 배출구 단면적의 유출입 유량과 임펠러 축방향의 토크값을 보여준다. 질량 유량의 결과값은 입수구, 순환구, 배출구의 경계면에서 계산되었으며, 양의 값은 케이싱 내로 물이 유입이 되는 값을 나타내며 음의 값은 케이싱에서 물이 유출되는 것을 의미한다. 배수와 헹굼작동에서 각각의 배출구와 순환구 경계면에서의 질량 유량의 절대값은 크면 클수록 배수와 헹굼이 원활하게 이루어지므로 이를 증가시킬 필요가 있다. 토크는 임펠러의 벽면에서 계산된 압력값을 이용하여 임펠러 축방향 값으로 계산되며, 회전수가 증가하면 할수록 모터에 부하가 많이 걸리게 되므로 모터의 최대부하용량을 고려하여 현재 수준 이하로 유지할 필요가 있다.
Table 2
Result of initial model
| Boundary condition | Emit | Rinsing |
|---|---|---|
| Circulation mass flow rate (kg/s) | 0.3622 | -0.4229 |
| Drain mass flow rate (kg/s) | -0.6609 | 0.1451 |
| Inlet mass flow rate (kg/s) | 0.2987 | 0.2779 |
| Torque (N·mm) | 0.0829 | 0.0648 |
Table 2에서 나타난 바와 같이 배출 조건에서는 입수구에서 유입되는 물은 주로 배출구로 유출되고 순환구에서는 물의 유입과 유출이 발생하지 않아야 하지만, 순환구에서의 흡입으로 인해 케 이싱 내부로 유입된다. 마찬가지로 헹굼 조건에서는 입수구에 서 유입되는 물이 주로 순환구로 유출되어야 하지만, 배출구에 서의 흡입으로 인해 케이싱 내부로 유입되는 것을 알 수 있다.
그러므로 현재 수준 이하의 토크 부하를 유지하면서 배출과 헹굼조건에서 순환구 혹은 배출구에서의 흡입 혹은 역류로 인해 손실되는 유량을 감소시킬 수 있는 펌프 케이싱 구조 개선이 필요하다.
3. 설계인자 선정 및 민감도 분석
양방향 펌프의 성능에 미치는 주요 인자를 선택하기 위해 펌프 케이싱 형상과 관련된 치수 16개를 선정하였다. 16개의 설계 변수는 케이싱 구조와 관련된 설계 변수와 격막과 관련된 설계 변수, 그리고 임펠러와 관련된 설계변수 등으로 구성되어 있다 (Fig. 1).
Table 3은 각 설계인자별 2수준에서 상․하한(L/B와 U/B) 으로 선정된 값을 보여준다. 각각의 설계인자 값은 설계인자 값의 변화가 발생하더라도 다른 설계인자 간 간섭이 일어나지 않으면서 최대로 변화영역으로 적용할 수 있는 수준에서 선정 하였다.
Table 3
Design factors of pump casing
펌프 케이싱의 최적 설계를 위해서는 설계인자의 수가 너무 많으므로 펌프 성능에 가장 많은 영향을 미치는 주요 인자를 선택해야 한다. 본 연구에서는 이를 위해 Plackket Burman Design(PBD)를 사용하여 주효과 분석을 수행하였다.
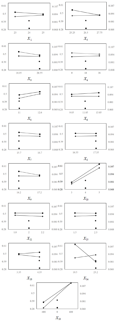
PBD 방법을 사용하여 20개의 실험점에 대한 전산유동해석을 실시하였으며, 배출과 순환 조건에서의 배출구 및 순환구에서의 유량과 토크값에 대한 평균분석(analysis of mean)을 사용 하여 각 설계 인자의 주효과를 분석하였다(Montgomery, 2017). 평균분석은 각 결과에 대한 전체평균을 구하고 설계인 자의 수준별 평균을 구한 후 수준별 상․하한 값 차이를 비교해 각 설계인자의 주효과를 분석하는 방법이다. 여기서 민감한 설계인자의 기준은 각 수준에서의 결과값이 전체 평균으로부터 최소 5%이상의 차이를 보이는 인자를 기준으로 선정하였다. Fig. 2는 배출 시 각 인자의 배출구에서의 유량과 토크에 대한 민감도를 나타낸 그림이며, 헹굼 시에도 유사한 결과가 나타 나므로 배출 조건에서의 결과만 나타내었다.
여기서, x축은 각 설계인자의 하한과 상한, 좌측 y축은 출수 조건의 배출구 유량, 우측 y축은 출수조건에서의 토크를 나타 내고 있다.
각 그래프에서의 둥근 점과 마름모 점은 각각 기존모델의 배출 유량과 토크값을 나타내며, 각 끝단이 둥근 점과 마름모 점으로 표시된 직선 그래프는 각 설계 인자의 하한과 상한에서 배출 유량과 토크값을 이은 선을 의미한다. 설계인자는 입수구 지름 (X1 )에서 배출시 임펠러의 회전속도(X15)까지의 민감도 결과를 순차적으로 표현하였으며, Fig. 2는 배출 시 민감도 결과이므로 순환 시 임펠러의 회전 속도(X16)에 대한 민감도 결과는 포함 되지 않았다.
Fig. 2에서도 알 수 있듯이 전체 데이터에서 질량 유량과 토크에 대한 수준 수별 5%의 차이를 만족하는 설계인자는 케이싱 외측의 높이(X2), 입구와 순환구 중심간의 거리(X9), 임펠러 날개 수(X10), 케이싱 중심과 격막 내측간 거리(X14), 회전속도(X15 , X16)이다.
케이싱 외측의 높이(X2)는 높으면 높을수록, 입수구와 순환구 중심간의 거리(X9)는 멀면 멀수록 입수구에서 들어온 물이 배수구로 나가지 않고 케이싱 내부에 머물러 있으므로 배수구의 유량은 감소하는 경향을 보인다. 반면, 임펠러 날개 수(X10)는 날개 수가 증가할수록 유량은 증가하였지만 토크도 증가하는 경향을 보여 유량과 토크 모두는 임펠러의 날개 수에 민감함을 알 수 있다. 케이싱 중심과 격막 내측간 거리(X14)는 넓으면 넓을수록 유로흐름을 방해하는 불필요한 와류를 생성하여 유량이 감소하면서 토크 부하는 증가하게 된다. 임펠러의 회전 속도(X15)는 증가할수록 유량은 증가하지만 토크 역시 증가하는 경향을 보였다.
평균분석으로 선정된 6개의 설계인자들 중 케이싱 중심과 격막사이의 공간(X14)은 하한에 가까울수록, 다시 말해서 격막 사이의 공간이 없을수록 유량 성능 개선 정도가 크다는 사실을 알 수 있다. 그 이유는 격막 내 공간이 있을 경우 격막 사이에서 와류가 발생하여 역류를 발생시키기 때문이다. 따라서 케이싱 중심과 격막 내측간 거리(X14)는 최적화 이전에 기존모델에서 해당부분을 제거하여 해석을 비교하였다. Table 4는 기존모델 (Initial_1)과 격벽 사이 공간을 제거한 모델(Initial_2)의 해석 결과를 비교한 것이다. 표를 보면 개선 모델에서 토크의 큰 증가 없이 흡입과 역류의 질량유량은 감소하면서 목표로 하는 출구의 질량유량이 증가하였다.
Table 4
Result of initial model
그러므로 격벽 사이의 공간을 제외하고 남은 설계인자 중 임 펠러 날개의 개수(X10 ), 케이싱 외측의 높이(X2), 입수구와 순환구 중심간의 거리(X9 )의 설계인자를 최적설계를 위해 선택 하였다. 회전속도(X15, X16) 인자는 유량과 토크에 주요한 효과를 미치지만 설계인자가 아닌 제어인자이며, 본 연구는 케이싱 형상을 설계를 목표로 하므로 회전속도는 설계변수로 선택하지 않았다.
4. 양방향 펌프 케이싱 구조 최적화
평균분석을 통해 선택된 설계인자인 케이싱 외측 높이, 입구와 순환구 중심간 거리와 임펠러 날개 수는 양방향 펌프 케이싱의 구조 최적화를 위한 설계변수로 선택되었으며, 양방향 펌프의 배수와 순환 조건에서 역류 및 흡입유량과 토크에 대한 제한조건을 만족하면서 배출구의 유량을 최소화하는 것을 목적 함수로 하였다. 여기서 목적함수를 최소화하는 이유는 배출구의 유량이 음의 값을 가지기 때문이다. 이에 대한 설계 문제의 정식화 수식은 아래 나타난 바와 같다.
여기서, 설계변수 은 각각 케이싱 외측 높이, 입구와 순환구 중심간 거리와 임펠러 날개 수를 나타내며, y2는 배수 조건에서의 배출구의 질량유량이며, y5는 헹굼조건에서의 순환구의 질량유량을 의미한다. 위 수식에서 ω는 배출 및 헹굼 조건의 중요도 조절을 위한 가중치이다. 본 연구에서는 ω의 값을 0.5로 적용하였다. 임펠러 날개 수는 원래 불연속변수이지만 근사모델과 최적설계를 위해 연속변수로 가정하였으며 최적해 결과는 근사치를 이용하여 날개 수가 3~5 사이의 정수로 선택 하였다.
제한 값으로 지정한 y1은 배수 시 순환구의 역류 혹은 흡입 으로 인한 유입 혹은 유출 질량유량이며, y4는 순환 시 배출구 에서 역류 혹은 흡입으로 인한 유입 혹은 유출 질량유량을 의 미한다. y3은 배수 조건에서 토크, y6는 헹굼 조건에서 토크의 값이다. 배수 혹은 순환시 역류 혹은 흡입으로 인한 유입 혹은 유출 유량은 0.06kg/s로 제한을 두었으며, 배수와 순환시 토크는 임펠러 토크 값으로 기초 모델의 토크 값보다 높은 20%를 제한 값으로 두었다. 그 이유는 전동기 설계에서 날개 수 증가에 따른 토크 증가를 고려하여 해당 제한 값으로 선정 하였다.
수식 (2)에서의 목적함수와 제약함수에 대한 근사모델 생성을 위해 Face Central Composite Design(FCCD) 방법을 사용하였다(Montgomery, 2017). 3수준에서 3개의 설계인 자를 포함하여 2차 근사모델 생성을 위해 40개의 전산실험을 수행하였다. 목적함수 y2와 y5, 제약함수 y1, y3 , y4, y6에 대 한 근사모델은 (3)~(8)의 식과 같다.(4)(5)(6)(7)
수정 결정계수(Adjusted R2)를 사용하여 해당 근사모델의 적합도를 평가한 결과, Table 5에 나타난 바와 같이 목적함수와 제약함수 모두 90% 이상의 결정계수값을 가지므로 전산해석 결과에 대한 근사모델의 적합도가 높다고 볼 수 있다.
목적함수와 제약함수에 대한 근사모델을 이용하여 상용 최적설계 소프트웨어인 PIAnO(PIDO Tech, 2012)에서 마이크로 진화 알고리즘(micro genetic algorithm)을 사용 하여 전역적 최적화를 진행하였다(Koeppen, 2011). Table 6에서 Optimum은 최적화된 모델에서의 결과, Solver는 최적해에서 전산해석을 다시 수행하여 얻을 결과를 의미한다.
Table 6
Optimum results
Table 4 결과에서도 확인한 바와 같이 격벽 사이 공간을 제거한 후(Initial_2) 유량과 토크 모두 성능 개선의 효과가 있음을 다시 한번 확인할 수 있다. 개선된 모델을 최적화한 결과 배출 시 배출구에서의 유량(y2)와 순환 시 순환구에서의 유량(y5) 모두 질량유량의 절대값이 초기모델(Initial_1)에 비해 각각 20.6%, 22.9%정도 증가하는 것을 확인할 수 있다.
반면 배출 시 흡입으로 인해 순환구로 유입되는 유량(y1)은 감소하였고, 순환 시 역류로 인해 배출구로 유출되는 유량(y4)의 절대값은 다소 증가하는 경향을 보였으나 제한조건은 만족 하므로 큰 문제는 없다.
유량이 증가하면서 이전 모델에 비해 토크는 다소 증가하지만, 유량의 증가율에 비해 토크의 증가율은 크지 않으며 여전히 제한조건을 만족하므로 최적모델이 초기모델보다 개선된 것을 확인할 수 있다. 최적해 결과가 전산해석에서도 동일한 결과를 얻는지 확인하기 위해 최적해에서의 전산해석을 수행한 결과 목적함수와 제약함수값이 거의 유사함을 확인하였으므로 최적 해의 정확성이 충분하다고 볼 수 있다.
Fig. 3은 기존모델과 최적모델의 질량유량의 유로흐름을 속도 유선으로 나타낸 그림이다. Fig. 3(a)와 (b)는 배출시 초기모델과 최적모델의 유로 흐름을 보여주며, Fig. 3(c)와 (d)는 순환 시 초기모델과 최적모델의 유로 흐름을 보여준다. 최적모델은 초기모델에 비해 배출조건에서 입수구로 유입된 유량이 배수구로 대부분 유출되는 것을 확인할 수 있으며 반면 순환구로 유출되는 유량이 감소하는 것을 알 수 있다. 마찬가 지로 순환조건에서도 초기모델과는 달리 최적모델에서 유입되는 유량이 대부분 순환구로 유출되고 배수구로는 거의 유출이 없다는 것을 알 수 있다.
Table 6에서 최적해 결과를 가시화하기 위해 목적함수와 제한조건에 대한 등고선도를 나타내었다(Fig. 4). 원래 설계 변수는 3개이지만, 세 번째 설계변수는 이산변수이며 최적해 에서 최적해의 임펠러 날개수가 5개이므로 두 개의 설계 변수에 대한 등고선도만 표현하였다. Fig. 4(a)와 (b)는 각각 배출 조건과 순환조건에서의 목적함수와 제약함수에 대한 등고선도를 나타낸다. 그래프에서 초록색 실선과 분홍색 실선은 각각 질량 유량과 토크에 대한 제한조건을 의미하며, 검은색의 박스는 각 설계변수의 하한과 상한을 의미한다.
배출 및 헴굼 조건에서 격막 사이 공간을 제거한 후의 모델 (점)은 최적화를 통해 유량은 증가하면서 설계변수 범위 내 제한 조건에 대한 가능해 영역(feasible region)내로 수렴(별표) 되었다. 격막 사이 공간을 제거한 모델은 최적 모델과의 형상 차이가 크지 않은데, 그 이유는 유량과 토크에 비해 설계변수 범위에 대한 제한조건이 엄격하기 때문이다. 결과적으로 최적 해가 설계제한조건의 경계에 있으므로 이차 모형 생성을 위한 FCCD 방법이 필요없다고 볼 수도 있지만 설계영역 내에서 근사모델은 비선형성을 가지며 최적해 역시 설계영역 내부에 존재할 수도 있으므로 FCCD와 이를 이용한 이차 근사모델을 사용한 것은 합리적이라고 볼 수 있다.
케이싱 외측높이(x1)는 앞서 주효과 분석 결과에서도 알 수 있듯이 높이가 높을수록 입수구에서 유입된 유량이 배출구 혹은 순환구로 원활이 유출되지 않으므로 외측높이의 하한에서 최적해를 가진다. 마찬가지로 입수구와 순환구 중심간의 거리 (x2)는 멀수록 입수구에서 들어온 물이 배수구로 나가지 않고 케이싱 내부에 머물러 있으므로 거리의 하한에서 최적해를 가진다. 임펠러의 날개 수는 증가할수록 토크가 증가하는 단점이 있으나 토크 증가에 비해 유량의 증가량이 크므로 날개 수는 5개가 적합함을 알 수 있다.
5. 결 론
본 논문에서는 기존의 한 방향 모터를 대체하기 위한 양방향 모터 펌프 케이싱 모델의 최적화를 진행했다. 기존의 모델에서 독립적으로 설계인자의 변경이 가능한 16개의 인자를 선정하고 평균분석 후 6개의 설계인자를 선정하였다. 6개의 설계인자 중 성능 개선 효과가 큰 케이싱 외측 높이, 순환구 중심과 케이싱 바닥면 사이의 거리, 임펠러 날개 수에 대해 실험계획법 FCCD 를 사용하여 근사모델을 생성한 후 결정계수를 통해 적합성을 검증하고 최적화를 진행하였다. 그 결과 날개 개수가 전체적인 성능 변화에 가장 큰 영향을 주었으며, 날개 개수는 5개 이면서 케이싱 외측 높이는 낮을수록, 순환구 중심과 케이싱 바닥면 사이의 거리는 짧을수록 배수와 순환시 배출구와 순환구에서의 질량 유량이 20% 정도 증가함을 알 수 있었다. 특히 날개 수의 증가에 따라 토크가 증가하였으나 토크가 증가한 비율에 비해 유량은 증가하고 역류와 흡입은 감소하는 효과를 거두었으므로 전체적인 성능은 향상되는 결과를 얻었다.






