1. 서 론
국내에서는 1960년대부터 시작된 경제개발에 따라 제철, 화물 등을 처리하기 위해 공업항이 건설되었고, 현재는 대형화되는 컨테이너선의 수용을 위해 신항만이 건설되고 있다. 국토해양통계연보와 해운항만물류정보센터 자료(Fig. 1, Fig. 2)에 따르면 전국 항만 물동량은 2000년대 초반부터 2011년까지 증가하는 추세를 보이며, 특히 2011년 국내 항만에서 처리한 물동량은 13억 112만 톤으로 전년대비 8.9% 증가했다. 항만별 물동량은 부산항 2억 9,433만 톤, 광양항 2억 1,993만 톤, 울산항 1억 9,375만 톤 등의 순이며, 각각 전년대비 12.3%, 6.4%, 12.9% 증가하였다. 이처럼 국내 수출입 화물량과 항만시설물의 사용빈도의 증가추세에 따라, 항만시설물에 대한 보수·보강 등의 유지관리에 필요한 비용 또한 증가할 것으로 예상된다. 그러나 국가재정운용계획(’07~’11)에서 재정투자계획은 전체 사회간접자본(SOC)의 최근 5년간 연평균 5.8% 수준의 투자 증가와는 달리 해운항만부문의 투자비는 3.4% 감소하였다(Table 1). 또한 국가재정운용계획(’14~’17)에서 사회간접자본의 투입 예산을 대규모 감축할 것으로 밝혀, 항만시설에 대한 효율적인 유지관리 및 운영의 필요성이 대두되고 있다.
Table 1
Financial investment plan of shipping harbors field in National Fiscal Management Plan (unit : one hundred million)
| Years Budget | 2007 | 2008 | 2009 | 2010 | 2011 | Increasing rate of average year(%) |
|---|---|---|---|---|---|---|
| Whole of SOC | 184,218 | 206,207 | 254,974 | 251,107 | 244,406 | 5.8 |
| Shipping & Port | 20,622 | 20,491 | 21,298 | 18,617 | 16,333 | -3.4 |
| Proportion (%) | 11.2 | 9.9 | 8.4 | 7.4 | 6.7 |

Figure 2
Status of the number of vessel arrivals in domestic ports, 2001-2011(https://stat.molit.go.kr)
국내 해양항만시설의 체계적인 유지관리의 시작은 1990년대 후반 해양수산부의 연구지원에 의한 항만시설물의 구조형식별 손상형태를 고려하여 구조물의 상태를 평가하는 “항만시설물 안전점검 및 정밀안전진단 지침서”였다. 2000년대 중후반에는 유지관리시스템의 전산화에 대한 연구(Lee et al., 2003)와 안전진단의 경제성분석, 유지관리비 적용의 문제점과 개선방안에 대한 연구(Ahn et al., 2005)가 진행되었다. 위의 연구들은 유지관리시스템을 확립하기 위해 진행되었고, 항만시설물의 노후화에 영향을 주는 요인에 대한 연구도 이루어졌다. 노후 항만구조물의 열화도 평가지표 확립에 관한 연구(Lee et al., 2011)는 해양콘크리트의 탄산화 및 염해와 같은 열화인자에 대한 연구를 진행하여 실구조물의 열화도를 평가하였다. 항만구조물의 가장 직접적인 열화요인으로 여겨지는 항만구조물의 접안 및 충돌에너지 산정을 위한 연구(Lee et al., 2004, Shin, 2007)와 선박충돌시 돌핀 구조물의 거동에 대한 원심모형실험에 대한 연구(Oh et al., 2011) 뿐만 아니라, 구조물의 신뢰성에 기초한 노후된 잔교식의 안전성 및 내하력 평가에 대한 연구(Cho et al., 1995)와 선박접안시험을 통한 자켓식 돌핀부두의 내하력 평가 방법에 대한 연구(Cho et al., 1998)가 진행되었다.
국·내외 항만시설의 상태열화모델 개발에 대한 연구는 미흡한 실정이나, 교량이나 도로시설의 상태열화모델에 대한 연구(Cesare et al., 1992; Kong et al., 2008)는 다양하게 진행되었다. 미국의 교량관리시스템(BMS Pontis)의 상태열화모델은 상태 변화의 변동성 및 불확실성을 고려할 수 있는 마코브 체인 모델을 적용하고 있다.
따라서 본 연구에서는 국내 항만시설물 중 동해안 지역의 비컨테이너 화물을 취급하는 잔교식 시설물과 블록식 시설물을 대상시설물로 해당시설물의 특성(구조물의 상태, 해역의 특성, 취급화종, 노후도 수준 등)을 반영하여 상태등급을 기반으로 Project level의 열화모델을 개발하였다.
2. 상태열화모델 개발
2.1 열화인자 분석
항만시설물은 해양환경에 위치하여 타 국가기반시설물에 비해 염해로 인한 부식, 파랑에 의한 피로하중, 그리고 태풍과 같은 많은 환경적인 열화요인에 직접적으로 노출되어 있다. 이러한 열화인자는 전문가 설문조사와 정밀점검 및 정밀안전진단보고서를 분석한 결과(Kong, 2012) Fig. 3과 Fig. 4와 같이 나타났다. Fig. 3은 항만관련 업계에 종사하는 16명의 전문가들의 설문조사를 통하여 분석된 결과이며, 그 결과 기초침하 23%, 지반지지력 17%, 선박충돌 16%, 파랑 13%가 항만시설물 열화의 주요원인이라고 응답하였다. Fig. 4는 항만시설물의 43개의 정밀점검 및 정밀안전진단 보고서로부터 외관조사 결과 및 손상원인 부분을 정리하여 손상원인을 나타낸 것이다. 정밀점검 및 정밀안전진단 보고서 분석을 통해, 항만시설물의 주요 열화요인으로 선박충돌 23%, 낙하물 충격 21%, 건조수축 19%, 준공시 건조수축 16%, 염해 12%가 조사되었다. 두 분석을 통하여 열화모델 개발에 고려 가능한 영향인자(독립변수)로 선박충돌, 선박접안에너지, 낙하물 충격(물동량으로 고려), 염해를 선정하여 열화모델(종속변수)을 개발하였다. 항만시설물은 형식별(잔교식, 블록식), 부재별(잔교식-바닥판, 가로보, 세로보, 파일, 블록식-상부공 및 본체부, 에이프론) 기능에 따라 열화의 주요 영향인자가 다를 것으로 예상된다.

Figure 4
Deterioration factors of the port structures according to the precision safety diagnosis reports
따라서, 본 논문에서는 잔교식 구조물의 바닥판과 블록식 구조물의 상부공 및 본체부는 선박접안에너지, 충돌하중, 습도 및 물동량을 주요 열화인자로, 잔교식의 가로보, 세로보 및 말뚝은 선박접안에너지, 충돌하중 및 습도, 블록식의 에이프론은 물동량과 충돌하중을 주요 열화인자로 선정하였다. 각 열화인자에 대한 세부사항은 다음과 같다.
2.1.1 선박접안에너지
선박접안에너지는 선박이 접안하면서 방충재 손상 및 기능상실로 인해 항만시설물에 전달되는 에너지이다. 선박의 접안에너지(Ef)는 항만 및 어항 설계기준(Ministry of Oceans and Fisherles, 2005)에서 제시된 식을 이용하였다.
여기서, Ws는 선박의 배수량(the displacement of the ship, ton), Ce는 편심계수(the eccentricity coefficient), V는 선박의 접안속도(m/sec), Cm은 가상질량계수(the hydrodynamic mass coefficient), Cs는 유연성계수(the softness coefficient), Cc는 선석의 형상계수(the berth configuration coefficient)이다. 선박의 배수량에 따른 접안에너지는 Fig. 5와 같이 나타났으며, 선박의 톤수에 따라 제한된 접안속도로 인해 접안에너지가 감소하는 구간이 나타났다. 영향인자의 적용을 위하여 접안에너지의 증가와 감소하는 구간을 나누어 구간별 접안에너지의 회귀식을 이용하였다. 접안에너지 산정을 위해 중요한 요소인 선박의 질량 데이터는 각 지방의 항만청 웹사이트에 공시된 부두별 연도별 입항 선박들의 총톤수에 따라 산정된 접안에너지의 합계 값이며, 2001년부터 2010년까지의 연평균 접안에너지를 열화인자 데이터로 입력하였다.
2.1.2 선박충돌하중
선박충돌하중의 경우 선박이 자연조건, 기관고장 또는 항해자의 판단 착오 등에 따른 예기치 않은 사고로 인해 직접 부두시설에 접촉하게 되면 에너지의 완충이 없는 상태에서 커다란 충격력으로 항만 시설물에 직접적인 파손을 가져올 수 있는 하중을 말한다. 충격하중은 다양한 물리 모형실험과 이론적인 연구에 바탕을 둔 경험적인 관계식에서 얻어 질 수 있다. 본 연구에서는 Greiner Engineering Sciences(1985)에서 Woisin의 식에 선박의 속력, 화물, 적재상태 등을 고려한 수정된 최대 충돌하중(Pmax)과 평균 선박충격하중(Pav)은 다음 식으로 산정한다(Shin 2007).
여기서, DWT는 선박의 재화중량톤수(ton)를, V는 충돌직전 선박의 속력(m/sec), Dact는 충돌시 선박의 배수량(ton), Dmax는 선박의 최대 배수량(ton)이다. 충돌하중은 선박접안에너지와 마찬가지로 각 지반의 항만청 웹사이트에 공시된 부두별 연도별 입항하는 선박들 중 가장 큰 선박의 총톤수와 입항횟수 데이터를 이용하여 산출되었으며, 2001년부터 2010년까지의 연평균 충돌하중을 열화인자 데이터로 입력하였다. Table 2는 동해항의 2001년, 2002년 그리고 2003년의 평균 충격하중을 산출한 예이다.
3. 다중 회귀분석
다중 회귀분석은 종속변수가 두 개 이상의 독립변수에 의해 영향을 받을 것으로 기대될 때 종속변수의 변화를 나타내기 위하여 여러 개의 독립변수들이 사용되는 회귀분석이다.
독립변수가 k개 일 때 회귀모형식은 다음과 같다.
여기서, Y는 종속변수, X1,···,Xk는 주어진 k개의 독립변수들, γ1,···,γk는 미지의 회귀계수, ε는 오차이다. 본 연구에서는 상태등급 및 상태지수 변화에 영향을 미치는 영향인자로 선박접안에너지(x1), 충격하중(x2), 물동량(x3), 습도(x4)로 선정하여 이에 대해 아래와 같은 회귀분석 모델은 다음과 같다.
여기서, α0, α1, α2, α3, α4는 회귀식 계수, x1, x2, x3, x4는 영향인자이다.
3.1 열화모델 개발 프로세스
다중 회귀분석을 통한 열화모델 개발(Fig. 6)은 시범대상시설물의 부두별, 부재별, 조사구간별, 공용년수별 상태이력 데이터와 열화에 영향을 주는 영향인자를 분석 및 수집 후 부재별 단변수 회귀분석을 수행한다. 단변수 회귀분석의 결과와 열화영향인자를 고려하여 다중 회귀분석을 통해 부재별 열화모델 개발 후 부재별 열화율을 정밀점검 및 정밀안전진단 시 전체상태등급을 산출하는 방법을 이용하여 부두에 대한 프로젝트 레벨의 열화모델을 개발하였다.
3.2 상태등급 및 상태지수 이력 데이터 조사 분석
국내 항만시설물 391개의 정밀점검 및 정밀안전진단 보고서의 상태등급 및 상태지수 데이터를 이용하여 시공 직후의 상태이력 데이터를 분석한 결과, 대부분의 시설물이 15년 이내에 보수 시점인 상태등급 C등급으로 열화되는 것을 확인하였다. 이런 결과로부터 준공이후 15년 미만인 시설물은 시공 상태 수준으로 15년 이상 된 시설물을 유지관리수준으로 구분하고 각 수준에서 취약, 보통, 우수 상태로 구분하였다. 본 논문에서는 회귀분석을 위한 데이터가 충분한 동해안 지역에 있는 비컨테이너 화물을 취급하는 잔교식 구조물의 유지관리수준 취약 케이스와 블록식 구조물의 유지관리수준 우수 케이스에 대해서 열화모델을 개발하였다. 잔교식 구조물의 시범대상시설물은 포항신항 제4부두, 동해항 남부두(1단계), 동해항 북부두(1단계), 동해항 중앙부두이며, 단변수 회귀분석을 위하여 정리한 관측치(부두별, 부재별, 공용년수별 상태등급 및 상태지수)의 수는 897개다. 블록식 구조물의 시범대상시설물은 울산항 용잠3부두, 울산항 한진중공업부두, 울산항 SK가스부두, 울산항 일반부두, 울산항 온산4부두이고 관측치(부두별, 부재별, 공용년수별 상태등급 및 상태지수)의 수는 2,593개이다.
3.3 부재별 단변수 회귀분석
단변수 회귀분석의 독립변수는 공용년수이며 종속변수는 부재의 열화율이고, 다중 회귀분석 전 단계에 이루어진다. 각 케이스별 취합된 대상시설물의 부재별 상태이력 데이터는 MATLAB 프로그램을 이용하여 단변수 회귀분석을 수행하였다. Fig. 7은 잔교식 구조물의 부재별 단변수 회귀분석 결과 열화율 데이터를 그래프로 나타낸 것이다.
3.4 대상시설물별 영향인자 데이터
다중 회귀분석을 위하여 고려되는 각 시설물별 영향인자는 2.1절에서 설명된 방법에 의해 산정되었으며 대상시설물별 영향인자 데이터는 Table 3과 같다.
3.5 부재별 다중 회귀분석 및 상태 열화모델
다중 상태열화 모델은 MATLAB과 SPSS를 이용하여 분석하였다. 잔교식 바닥판 부재의 다중 회귀분석을 통해 얻은 영향인자의 계수를 적용한 바닥판의 회귀식(열화율, Y)은 다음과 같다.
여기서, x1은 선박접안에너지, x2는 충격하중, x3은 물동량, x4는 습도이다. 식 (6)에서 선박접안에너지와 습도는 (+)계수 값을 가지며, 두 영향인자의 값이 커지면 상태열화율이 감소해야 함에도 불구하고 시설의 상태열화율이 높아지는 경향성을 보이게 된다. 이러한 경우 변수의 수를 조정하여 영향인자의 계수를 보정하여 경향성 문제를 해결하였다. 동해안 잔교식 비컨테이너 유지관리 취약 케이스와 블록식 유지관리 우수 케이스의 영향인자 계수 보정과정을 거쳐 얻어지는 최종 부재별 다중 회귀모델은 다음 식 (7)~(12)와 같다.
Table 3
Deterioration factors of ports at Donghae region
Table 4
Coefficient of determination and standard error of estimate
여기서, Yf는 바닥판, Yc는 가로보, Ys는 세로보, Yp는 말뚝, Ysb는 상부공 및 본체부, Ya는 에이프런의 열화율이고, x1은 선박접안에너지, x2는 충격하중, x3은 적재·적하하중, x4는 습도이다. 구조물별, 부재별 결정계수(R2)의 값과 Durbin- Waston 값은 Table 4에 정리하였다. 잔교식구조물의 말뚝의 결정계수 값은 0.599이므로 선박접안에너지와 충격량이 말뚝의 열화율에 미치는 영향을 59.9%만큼 설명해 준다. 다른 부재들의 설명력은 다소 낮은 것으로 나타났으나, 이는 적용된 독립변수들 외에 2.1절에서 조사되었던 영향인자들이 추가된다면 결정계수의 값이 커질 것이다. 또한 모든 부재들의 Durbin-Waston 값은 1에서 3사이 값을 보이며 잔차의 독립성이 충족된 것으로 판단된다. 제안된 회귀계수의 유의성은 검정을 통해 이루어졌다. 분석결과 물동량은 바닥판, 접안에너지는 파일, 충격량은 파일과 에이프런에 주요 영향력을 갖는 인자로 나타났으며, 이에 대한 세부사항은 Table 5와 같다. 여기서 B는 비표준화 계수, β는 표준화 계수, t는 t검정 값, p는 유의확률이다.
3.6 Project Level 열화모델
Table 6은 Project Level의 동해안 블록식 구조물의 열화모델이며, Table 7은 Project Level의 동해안 잔교식 구조물의 열화모델이다. 유지보수가 필요한 C등급시의 공용년수가 시설물별로 함께 제안되었다. 상태열화모델의 상태열화율은 정밀안전진단 보고서에서 전체 상태지수(CI)를 산정하는 식(Lee et al., 1999)을 이용하였다.
여기서, (CIn)은 n번째 조사단위의 상태지수, ln은 n번째 조사단위의 길이, L은 포함된 조사단위의 상태지수 중 최솟값(가장 나쁜 상태등급), H는 포함된 조사단위의 상태지수 중 최댓값(가장 좋은 상태등급), N은 포함된 총 조사단위 수이다. Project Level의 상태열화모델에 적용하기 위해, CI를 구조물의 전체 상태열화율이라 하면,
는 구성부재의 평균상태 열화율, L은 구성부재의 상태열화율 중 절대 값이 큰 값, H는 구성부재의 상태열화율 중 절대 값이 작은 값이다. 위의 식을 통해 구해진 Project Level의 상태열화율은 열화모델의 기울기가 되며, 시설물이 시공된 직후의 상태등급은 A등급(상태지수:5)이므로 절편의 값은 5로 지정하였다. 공용년수에 따른 Project level의 상태열화모델을 식 (14)처럼 구축 할 수 있다.
Table 6
Project Level deterioration rate and service life at C grade of gravity type wharfs
Table 7
Project Level deterioration rate and service life at C grade of open type wharfs
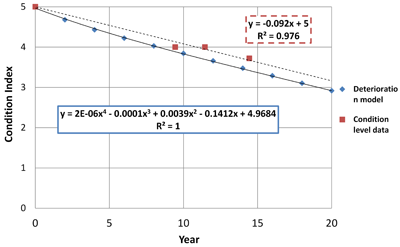
회귀분석을 통해 개발된 상태열화모델과 실제 정밀점검 보고서의 상태등급데이터의 비교를 통해 최종 검토하였다. Fig. 8은 블록식 구조물인 울산항 용잠부두의 상태열화모델과 정밀점검 및 안전진단 보고서의 전체상태등급 데이터를 비교한 그림이고, Fig. 9는 잔교식 구조물인 동해항 북부두의 상태열화모델과 정밀점검 및 안전진단 보고서의 전체상태등급 데이터의 회귀모델을 나타낸 것이다.
본 연구에서 제시한 다중 회귀분석은 변수 특성에 따른 시간 의존적 상태변화 분석에는 장점이 있으나 Fig. 7과 같이 변동성이 큰 자료들의 상태이력을 표현하기 위해서는 확률론적 열화모델을 고려할 필요가 있다. 다음 장에서는 대표적 확률론적 상태전이 모델인 마코브 체인 모델을 구성하였다.
4. 마코브 체인 모델
마코브 체인 모델은 한 단계의 일정한 상태에서 다음 단계의 일정한 상태로 넘어가는 과정을 표현하는 방법이다. 구조물이 단위기간 경과 후 상태 i에서 상태 j로 전이가 일어날 때의 확률(pi,j)을 행렬로 나타낸 것을 전이확률행렬 P라고하며, P는 다음과 같다.
n기간 경과 후, 상태 i에서 j로 전이 확률은 Frequency Approach method를 이용하여 구할 수 있다. 전이확률(pi,j)는 i 상태등급에서 j 상태등급으로 변화하는 확률로 다음 식을 통하여 구하였다.
여기서, nij는 주어진 기간 안에서 상태등급이 i에서 j로 이동하는 수를 나타내며 pi는 전이확률행렬의 한 행의 모든 수를 더한 수를 나타낸다. 구해진 전이확률행렬로 구성하여 다음과 같이 표현하여 전이확률행렬(P)을 만든다.
4.1 열화모델 개발 프로세스
열화모델 개발 프로세스는(Fig. 10) 다중 회귀분석과 마찬가지로 항만시설물의 정밀점검 및 정밀안전진단 보고서로부터 상태등급 데이터를 수집하고, 마코브 체인 이론을 이용하여 전이확률행렬을 계산하며, 공용년수에 따라 변화하는 부재별 열화곡선을 개발하는 순으로 구성된다. 부재별 상태등급은 다중 회귀분석에서 산출한 방법과 마찬가지로 정밀안전진단 보고서의 식을 사용하여 전체 Project level의 열화곡선을 개발하였다.
4.2 마코브 체인 모델의 전이확률 산출 및 부재별 열화모델 개발
동해안 비컨테이너 화물을 취급하고 유지관리수준이 취약한 잔교식 구조물 부재의 산출된 전이확률의 샘플을 Table 8~11에 나타내었다. 산출한 마코브 전이확률을 이용하여 동해안 비컨테이너 화물을 취급하는 잔교식 구조물과 블록식 구조물의 부재별 상태열화모델을 개발하였다. Fig. 11은 동해안 비컨테이너 화물을 취급하는 잔교식 구조물의 바닥판 부재의 상태열화모델이다.
Table 8
Transition probability of floor slab
| 5 | 4 | 3 | 2 | |
|---|---|---|---|---|
| 5 | 0.77 | 0.23 | 0.00 | 0.00 |
| 4 | 0.00 | 0.60 | 0.40 | 0.00 |
| 3 | 0.00 | 0.00 | 0.74 | 0.26 |
| 2 | 0.00 | 0.00 | 0.00 | 1.00 |
Table 9
Transition probability of crossbeam
| 5 | 4 | 3 | 2 | |
|---|---|---|---|---|
| 5 | 0.77 | 0.23 | 0.00 | 0.00 |
| 4 | 0.00 | 0.56 | 0.44 | 0.00 |
| 3 | 0.00 | 0.00 | 0.74 | 0.26 |
| 2 | 0.00 | 0.00 | 0.00 | 1.00 |
4.3 Project Level 상태열화모델 개발
Project level 상태열화모델은 3.6절에서 언급한 정밀안전진단 세부지침에서 전체상태지수를 구하는 방법과 동일한 방법을 이용하였다. 이 방법을 이용하여 마코브 체인 모델에서는 위에서 구해진 부재별 상태지수를 식 (13)의 L은 부재 상태지수의 최솟값으로, H는 부재 상태지수의 최댓값으로 정의하여 Project level 열화모델을 산출하였다. 식 (19), (20)은 잔교식 구조물(Y0)과 블록식 구조물(Yg)의 Project level 상태열화모델 식이다.
여기서, x는 공용년수이다. 공용년수에 따른 상태지수의 변화를 잔교식 구조물의 경우 Table 12에 나타내었고, 블록식 구조물의 경우 Table 13에 나타내었다. 동해안 잔교식 구조물은 유지관리수준이 취약한 케이스로 유지관리수준이 우수한 블록식 구조물에 비해 빠른 열화율을 보였다.
Table 12
Project level condition index of open type wharf
| Year | 0 | 2 | 6 | 10 | 14 | 18 | 20 | 40 | 60 |
|---|---|---|---|---|---|---|---|---|---|
| State | 5 | 4.31 | 3.6 | 2.92 | 2.3 | 1.76 | 1.5 | 0.53 | 0.16 |
Table 13
Project level condition index of gravity type wharf
| Year | 0 | 2 | 6 | 10 | 14 | 18 | 20 | 40 | 60 |
|---|---|---|---|---|---|---|---|---|---|
| State | 5 | 4.68 | 4.22 | 3.84 | 3.47 | 3.1 | 2.92 | 2.03 | 1.35 |
마코브 체인 이론을 이용하여 개발된 Project level의 전체 상태열화모델은 정밀점검 및 정밀안전진단 보고서의 전체상태등급 데이터와 비교하여 적용성을 검토하였다. Fig. 13은 동해안 블록식 구조물의 적용성을 검토한 것이고 Fig. 12는 동해안 잔교식 구조물의 적용성을 검토한 것이다. 블록식 구조물의 경우, 상태등급 C등급(상태지수:3)이 되는 공용년수가 마코브 체인 상태열화 모델의 경우는 19년이고, 안전진단 보고서의 전체상태등급 데이터의 회귀모델의 경우는 20년이다. 잔교식 구조물의 경우, 상태등급 C등급(상태지수:3)이 되는 공용년수가 마코브 체인 상태열화 모델의 경우는 9년이고, 안전진단 보고서의 전체상태등급 데이터의 회귀모델의 경우는 10년이다.
5. 결 론
본 연구에서는 국내 항만시설물의 정밀점검 및 정밀안전진단 보고서를 통해 시설물을 지역별(동해, 서해, 남해), 구조형식별(잔교식, 중력식, 케이슨), 시공상태수준별(취약, 보통, 우수), 유지관리수준별(취약, 보통, 우수), 취급화종별(컨테이너, 비컨테이너, 기타)로 구분하고, 구분된 시설물의 전체상태등급 데이터를 수집하여 상태열화이력이 있는 동해안지역의 부두를 시범대상시설물로 선정하였다. 시범대상시설별 부재별 노후화와 성능저하를 유발하는 주요 영향인자는 선박충돌하중, 염해, 적재·적하하중, 선박접안에너지를 선정하였고 이를 고려한 다중 회귀분석 모델을 개발하였다. 또한 상태이력 데이터의 확률론적 모델인 마코브 체인 이론을 이용한 모델을 함께 개발하였다. 각 케이스별 개발된 모델은 상태열화모델과 정밀점검 및 정밀안전진단 보고서의 전체 상태등급이력 데이터로 산출된 추세선과 비교 및 분석하여 적용성을 검증하였다.
동해안 잔교식 구조물의 비컨테이너 화물을 취급하고 유지관리수준 취약 케이스의 다중 회귀분석 모델의 경우 상태등급 C등급시 공용년수는 평균 약 6년, 마코브 체인 모델의 경우 약 9년의 시간이 소요되었다, 블록식 구조물의 비컨테이너 화물을 취급하고 유지관리수준 우수 케이스의 다중 회귀분석 모델의 경우 상태등급 C등급시 공용년수는 평균 약 20년, 마코브 체인 모델의 경우 약 19년의 시간이 소요되는 것으로 나타났다. 잔교식구조물과 중력식구조물의 상태등급 C등급시 공용년수의 큰 차이는 구조물의 형식과 유지관리수준의 세부케이스(취약, 우수)의 차이에서 나타난 것으로 판단된다.
향후 항만시설물의 체계적인 유지관리를 위해 정밀안전진단 보고서 및 데이터의 통합된 전산화시스템이 구축되고, 장기간 상태열화이력 데이터를 누적한다면 더 정확한 열화모델과 다양한 케이스의 모델이 개발될 것이다. 또한 이를 통해 대상시설물의 보수주기를 미리 예측하여 체계적이고 효율적인 유지관리를 할 수 있을 것으로 판단된다.

















